|
Pré
Requis |
DOSSIER LES
PROJECTIONS … COURS….
|
TEST |
COURS |
Interdisciplinarité |
|
Obj : PROJECTE sur...
|
|
|
|
||
|
|
Voir
définition du mot « direction et sens ». Mots utilisés dans l’objectif : le vecteur Préambule : La
projection d ’
un point ; d’un segment (un
ensemble de points alignés) implique que l’on doit connaître (ou se fixer) : n une direction (c’est une droite )
n la position du point dans un plan ( en l’occurrence la feuille) et n la droite support qui recevra
le « projeté du point » . |
|
||
|
|
|
|
||
|
|
I)
Projection d’un point sur une
droite: |
|
||
|
|
|
|
|
|
|
|
Il faut : -
Une droite (d) -
Une droite représentant la direction
(delta) : -
Les deux droites forment un angle
alpha : |
|
|
|
|
|
|
|
|
|
|
|
On place entre ces deux droites un point « A » . |
|
|
|
|
|
|
|
|
|
|
|
On trace une droite parallèle à Cette intersection est un point nommé « A’ ». On dit que l'on a effectué une projection
du point « A » sur a droite (d) . |
|
|
|
|
|
|
|
|
|
|
|
|
|
|
|
|
|
Le point
A’ est le projeté du point A
par rapport a la droite d ; (le segment de droite AA’ est parallèle à la
droite d), sur la droite orientée « axe » . La droite d indique la ligne direction de la projeté |
|
|
|
|
|
|
|
|
|
|
|
|
|
|
|
|
|
|
|
|
|
|
|
|
|
|
|
|
|
|
|
|
|
|
|
Projeté d’un point suivant deux directions
différentes. |
|
|
|
|
|
|
|
|
|
|
|
|
|
|
|
|
|
|
|
|
|
|
|
Projeté
dans sur un axe : |
|
|
|
|
|
|
|
|
|
|
|
Projeté d’un point sur un axe « |
|
|
|
|
|
|
|
|
|
|
|
II) Projection de deux points sur une droite ( axe ) : |
|
|
|
|
|
A’ est le
projeté du point A sur l’axe B’ est le
projeté du point B sur l’axe. A’ et B’
sont les projetée par rapport à
la droite de direction donnée d |
|
|
|
|
|
|
|
|
|
|
|
Projeté d’un segment sur un axe. |
|
|
|
|
|
|
|
|
|
|
|
|
|
|
|
|
|
|
|
|
|
|
|
Projeté d’un point sur deux axes sécants. |
|
|
|
|
|
|
|
|
|
|
|
III) Projection d’un segment de droite: « x » Avec
A et B on construit le segment AB; Le segment Ax Bx est le projeté
du segment AB sur la droite « axe » ,par
rapport à la droite d . XA
est l’abcisse du point A; XB est l’abcisse
du point B |
|
|
|
|
|
|
|
|
|
|
|
Projection
d’un segment sur une droite :
« y » Avec A et B on construit le segment AB . By
est le projeté de B sur l’axe
« y ». Ay est le projeté de A sur l’axe
« y ». Y A
est l’ordonné du point A Y B
est l’ordonné du point B |
|
|
|
|
|
|
|
|
|
|
|
III) Projection d’un segment de droite: « x » Avec A et
B on construit le segment AB; Le segment Ax Bx est le projeté
du segment AB sur la droite « axe » ,par
rapport à la droite d . XA est
l’abscisse du point A; XB est l’abscisse du point B |
|
|
|
|
|
|
|
|
|
|
|
IV ) Projection
d’un segment sur deux axes . |
|
|
|
|
|
|
|
|
|
|
|
|
|
|
|
|
|
|
|
|
|
|
|
|
|
|
|
|
|
|
|
|
|
|
|
|
|
|
|
|
|
|
|
|
|
|
|
|
|
|
|
|
|
|
|
|
|
|
|
Projection orthogonale d’un point
« A » puis d’un point « B » sur une droite « d ». |
|
|
|
|
|
|
|
|
|
|
|
Projection orthogonale d’un point
« A » puis d’un point « B » sur une droite « d ». "A'" et
" « B' » sont les images
respectives de « A » et « B » sur « d ». |
|
|
|
|
|
|
|
|
|
|
|
Projection orthogonale du segment « « |
|
|
|
|
|
|
|
|
|
|
|
On place « C » dans le repère …… Dessinez « C’ » l’ image de
« C » . |
|
|
|
|
|
|
|
|
|
|
|
Projection orthogonale de trois points sur
une droite « d ». Qui forment un triangle … Remarque : C’ A’ B’ est un segment … il est la projection
de ABC sur « |
|
|
|
|
|
|
|
|
|
|
|
|
|
||
|
|
|
|
||
|
|
|
|
||
|
|
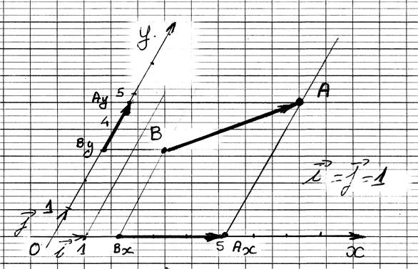
V)
Projection d’un segment sur
deux droites sécantes (appelé aussi repère cartésien ) ,cas courant le repère est dit
« cartésien ortho - normé » voir
Objectif :....FL et F affine
) Les
segments de droites AyBy et BxAx sont
appelés les projetés du
segment AB . La norme permet de graduer les axes. Si la norme * sur x et y est égale « mesure » le repère
est dit « normé » *Voir [O,I] et [ O, J ] |
|
|
|
|
|
|
|
|
|
|
|
|
|
|
|
|
|
|
|
|
|
|
|
|
|
|
|
|
|
|
|
|
|
|
|
|
|
|
|
|
|
|
|
||
|
|
|
|
||
|
|
|
|
||
|
|
|
|
||
|
|
|
|
||
|
|
|
|
||
Cas particulier : PROJECTION ORTHOGONALE d’un
point :
|
|
|
|
|
|
|
Repère orthogonal : |
|
|
|
|
|
|
|
|
|
|
|
|
|
|
On fait la
« projection orthogonale »d’un point « M » lorsque la direction (delta) et la droite sur
laquelle on trace « la projetée du point « M’ » » sont
perpendiculaires. |
|
|
|
|
|
|
|
|
|
|
|
|
|
|
|
|
|
|
|
|
|
|
|
|
|
|
|
|
|
|
|
|
|
|
|
|
|
|
|
|
|
|
|
|
|
|
|
|
|
|
|
|
|
|
|
|
|
|
|
|
|
|
|
|
|
|
|
|
|
|
|
|
|
|
|
|
|
|
|
|
|
|
|
|
|
|
|
|
|
|
|
|
|
|
|
|
|
|
|
|
|
|
|
|
|
|
|
|
|
|
|
|
|
|
|
|
|
|
|
|
|
|
|
|
|
|
|
|
|
|
|
|
|
|
|
|
|
|
|
|
|
|
|
|
|
|
|
(utile pour :Obj : symétrie orthogonale)
y
Ay
A

![]()
By B
![]()
Bx
Ax x
Voir : Composantes d’un vecteur
et calcul de la NORME D’UN VECTEUR





























Projection d’une surface sur deux droites:
Amusez
vous à nommer les points et reportez
leur projection.
Remarquer
l’ordre des lettres à comparer avec le sens de lecture des points d’une surface


FIN DU RAPPEL.
GEOMETRIE
DANS L’ESPACE.
Voir projection d’un point ,d’un segment ,d’une surface , d’un volume
dans un repère en trois dimensions (dit
dans l’espace )
EVALUATION :
A ) Montrer par un dessin ,la projection orthogonale d’un point .
D1 D delta M
![]()
![]()

I ) Soit le schéma suivant ,tracez le projeté du point M par
rapport à « delta » sur la
droite D et la droite D1.
II )
Soit un repère non orthogonal :
tracer les projetées du segment

B
III ) Soit un repère orthonormé ( à compléter): tracer les projections du segment AB ; donner les coordonnées des deux
points,
![]()
![]()
![]()
échelle1

![]()
Cet exercice sera repris avec Obj : « Pythagore »
en vue de rechercher la norme
d’un vecteur par le calcul
Composantes d’un vecteur:
Le
vecteur Vx et le vecteur Vy sont les
composantes du vecteur V.
Ces composantes ont pour origine ,l’origine du vecteur V ,pour direction
, les parallèles aux droites d et d
’ et pour extrémité des parallèles
aux droites d et d ’ passant par
l’extrémité du vecteur V I
![]()

![]()
d’
Vy V
![]()
Vx
![]()
d
Projection des composantes d’un vecteur: Le vecteur Vx
et le vecteur Vy sont
les projections du vecteur
V
Nous avons
dessiné le cas ou les projection
sont orthogonales , parce que les axes x
et y sont orthogonaux
y

Vy
V

![]()
x
Vx
CALCUL DES
COMPOSANTES D’UN VECTEUR:
![]()
![]()
V ,
Vx et Vy
forme un triangle
« rectangle » si le
repère est orthonormé
A
partir des coordonnées de l’origine est l’extrémité du vecteur ,on peut donc
calculer toutes les caractéristiques du triangle.
Pour
trouver les caractéristiques du triangle rectangle on fait appel :
à
« Pythagore »
ou aux
relations trigonométriques dans le triangle rectangle (sinus, cosinus, tangente ,cotangente)

V
V y
![]()
![]()
Vx